Упр.17.36 ГДЗ Мордкович 9 класс (Алгебра)
Решение #1
Решение #2

Рассмотрим вариант решения задания из учебника Мордкович 9 класс, Мнемозина:
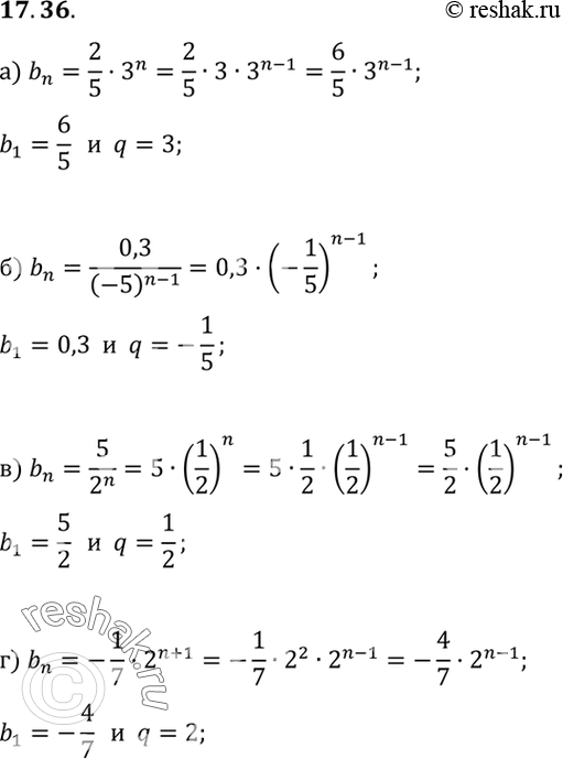
17.36. Найдите первый член и знаменатель геометрической прогрессии, заданной формулой n-го члена:
а) bn=2/3*3n;
б) bn=0,3/(-5)^(n-1);
в) bn=5/2n;
г) bn=-1/7*2^(n+1).
*размещая тексты в комментариях ниже, вы автоматически соглашаетесь с пользовательским соглашением