Упр.31.1 ГДЗ Мордковича 10 класс профильный уровень (Алгебра)
Решение #1
Решение #2(записки учителя)
Решение #3(записки школьника)
Решение #4

Рассмотрим вариант решения задания из учебника Мордкович, Семенов 10 класс, Мнемозина:
Решите уравнение:
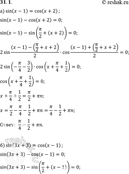
a) sin (х - 1) = cos (х + 2);
б) sin (3x + 3) = cos (х - 1).
*размещая тексты в комментариях ниже, вы автоматически соглашаетесь с пользовательским соглашением