Упр.8.15 ГДЗ Мордкович 9 класс (Алгебра)
Решение #1
Решение #2

Рассмотрим вариант решения задания из учебника Мордкович 9 класс, Мнемозина:
Найдите область определения функции:
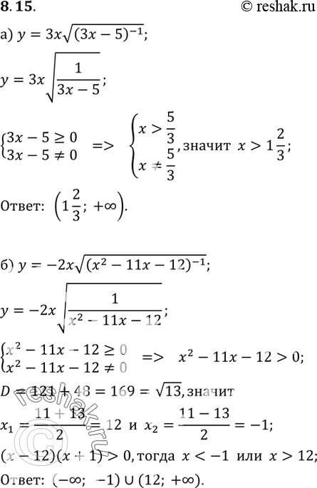
8.15 а) y= 3x корень (3x-5)^-1;
б) y= -2x корень (x2-11x-12)^-1;
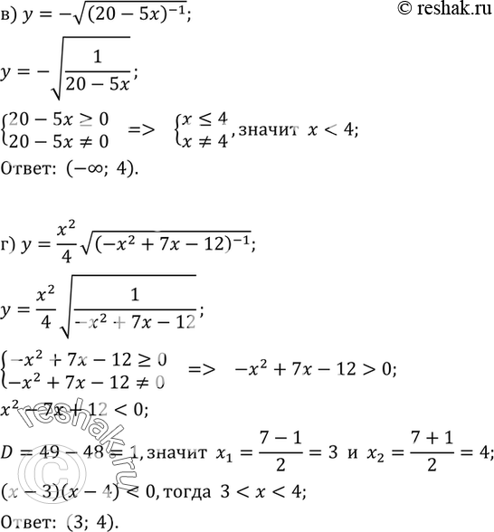
в) y= - корень (20-x)^-1;
г) y= x2 корень (-x2+7x-12)^-1/4.
*размещая тексты в комментариях ниже, вы автоматически соглашаетесь с пользовательским соглашением