Упр.6.9 ГДЗ Мордкович 9 класс (Алгебра)
Решение #1
Решение #2

Рассмотрим вариант решения задания из учебника Мордкович 9 класс, Мнемозина:
6.9. Решите систему уравнений методом замены переменных:
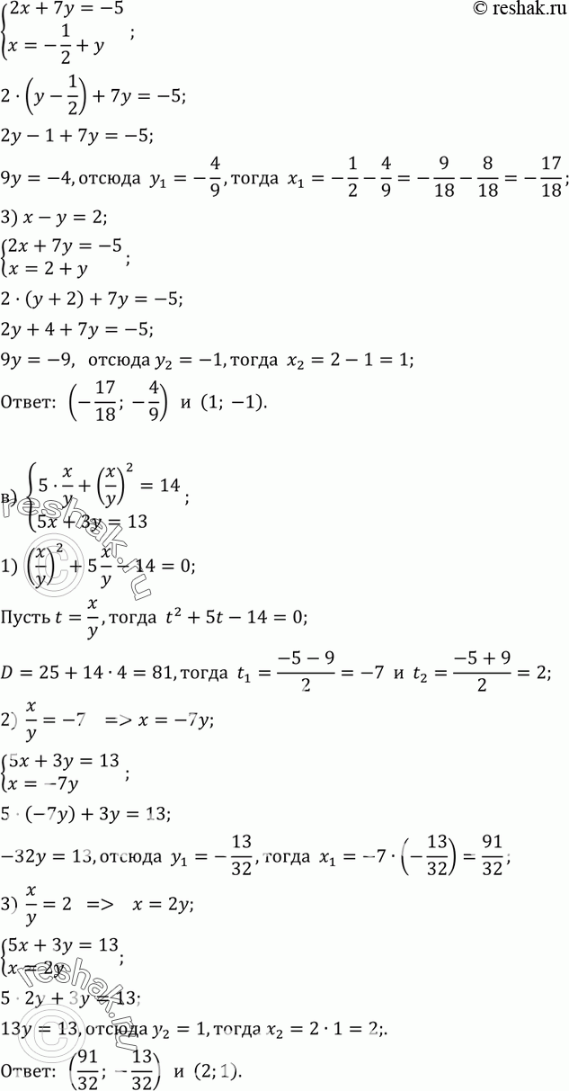
а) система
x2y2+xy=2,
2x+y=3;
б) система
3(x-y) - (x-y)2=-2,
2x+7y=-5;
в) система
5*x/y + (x/y)2=14,
5x+3y=13;
г) система
4(x+y)2- 7(x+y)=15,
5x-2y=1.
*размещая тексты в комментариях ниже, вы автоматически соглашаетесь с пользовательским соглашением