Упр.12.4 ГДЗ Мордкович 9 класс (Алгебра)
Решение #1
Решение #2

Рассмотрим вариант решения задания из учебника Мордкович 9 класс, Мнемозина:
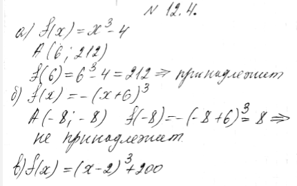
12.4. Принадлежит ли графику функции у = f(x) точка А, если:
а) f(x) = х3 - 4, А(6; 212);
б) f (х) = -(х + 6)3, А(-8; -8);
в) f(x) = (х - 2)3 + 200, А(-8; 800);
г) f(x) = -(х + 7)3 + 25, А(-2; -100)?
*размещая тексты в комментариях ниже, вы автоматически соглашаетесь с пользовательским соглашением